Available Transformations and Requirements
The following table displays the transformations that can be applied to responses in DOE folios and specifies any requirements for using the transformations.
|
Transformation Name |
Transformation Equation |
Data Requirements |
|
None |
|
None |
|
Square Root |
|
|
|
Natural Log |
|
|
|
Base 10 Log |
|
|
|
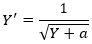
Inverse Square Root |
|
|
|
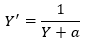
Inverse |
|
|
|
Power |
|
|
|
Logit |
|
|
|
ArcSin Square Root |
|
|