Equal Allocation Model

When you select the Equal allocation model in the Allocation utility, the Elements field in the control panel will update automatically to display the number of blocks that you have selected to include in the analysis (i.e., the number of check boxes that are selected in the Include column of the table).

In the Reliability Goal field in the control panel, enter the desired overall reliability for the system (expressed as a decimal from 0 to 1, excluding 0). In the Operating Time field, enter the length of time the system will operate (in hours). Click the Calculate icon on the control panel to obtain the results.

The following results will be displayed in the table for each block selected to be included in the analysis:

  • Reliability Allocated is the reliability goal for the block, expressed as a decimal value from 0 to 1, excluding 0.
  • Allocated Failure Rate is the recommended failure rate for the block, based on the allocation analysis. This calculated result is expressed in failures per million hours (FPMH) for MIL-217 and NSWC, and in failures per billion hours (FITS) for Bellcore/Telcordia and FIDES.

  • Allocated MTBF (hrs) is the recommended mean time between failures for the block, based on the allocation analysis. This calculated result is always expressed in hours.

  • Current Failure Rate is the current failure rate for the block based on the current reliability prediction so you can compare with the recommended value.

About the Equal Allocation Model

Description:

  • Assumes a series of n sub-elements, each of which is assigned the same reliability figure of merit.
  • The weakness is that the elements are not assigned reliability design goals in accordance with the degree of difficulty associated with achieving the goal.

Model:

or:

where:

  • Rproduct= Product reliability requirement/goal.
  • = Reliability allocated to the ith element.
  • i = 1, 2, ..., n elements.

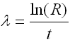
where λ can be obtained by:

(failures per hour).