BESSELJ
Description: Returns the Bessel function Jn(x).
Syntax: BESSELJ(Number, Order)
-
Number is the value at which to evaluate the function.
-
Order is the order of the Bessel function.
Remarks:
-
Both arguments must be numerical.
-
Order must be >= 0 and an integer.
-
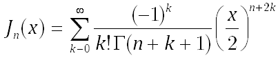
The n-th order modified Bessel function of the variable x is:
where:
-
When used in an event analysis flowchart, the parameters must evaluate to numerical values. They can include:
-
Numerical values
-
Standard operands (+, -, *, /)
-
Predefined mathematical functions (exp, log, sin, etc.)
-
References to any ReliaSoft Workbooks
Example:
-
Compute the Bessel function at x = 1.9 with an order of n = 2.
BESSELJ(1.9, 2) = 0.329926.