VARP

Used only in ReliaSoft Workbooks

Description: Calculates variance based on the entire population (ignores logical values and text in the population).

Syntax: VARP(Number1, Number2, ...)

  • Number1, Number2, ... are 1 to 30 number arguments corresponding to a population.

Remarks:

  • VARP assumes that its arguments are the entire population. If your data represents a sample of the population, then compute the variance by using VAR.
  • Arguments can either be numbers or names, arrays, or references that contain numbers.
  • Logical values, and text representations of numbers that you type directly into the list of arguments are counted.
  • If an argument is an array or reference, only numbers in that array or reference are counted. Empty cells, logical values, text or error values in the array or reference are ignored.
  • Arguments that are error values or text that cannot be translated into numbers cause errors.
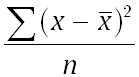
  • The equation for VARP is:

where x is the sample mean AVERAGE(Number1, Number2, …) and n is the sample size.

Example:

Using the data from the VAR example and assuming that only 10 tools are produced during the production run, VARP measures the variance of breaking strengths for all the tools.

  • VARP(A2:A11) = 678.84 [the variance of breaking strengths for all the tools, assuming that only 10 tools are produced]