GAMMADIST
Description: Returns the gamma distribution. You can use this function to study variables that may have a skewed distribution.
Syntax: GAMMADIST(x, Alpha, Beta, Cumulative)
- x is the value at which you want to evaluate the distribution.
- Alpha is a parameter to the distribution.
- Beta is a parameter to the distribution. If Beta = 1, GAMMADIST returns the standard gamma distribution.
- Cumulative is a logical value that determines the form of the function. If Cumulative is TRUE, GAMMADIST returns the cumulative distribution function; if FALSE, it returns the probability mass function.
Remarks:
- x, alpha and beta must be numerical.
- x must be >= 0.
- Alpha and Beta must be > 0.
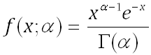
- The equation for the gamma distribution is:
- The standard gamma distribution is:
- When Alpha = 1, GAMMADIST returns the exponential distribution with:
- For a positive integer n, when Alpha = n/2, Beta = 2, and Cumulative = TRUE, GAMMADIST returns (1 - CHIDIST(x)) with n degrees of freedom.
- When Alpha is a positive integer, GAMMADIST is also known as the Erlang distribution.
- When used in an event analysis flowchart, the x, Alpha and Beta parameters must evaluate to numerical values. They can include:
-
Numerical values
-
Standard operands (+, -, *, /)
-
Predefined mathematical functions (exp, log, sin, etc.)
-
References to any ReliaSoft Workbooks
Example:
- GAMMADIST(10,9,2,FALSE) = 0.032639
- GAMMADIST(10,9,2,TRUE) = 0.068094