WEIBULL

Used only in ReliaSoft Workbooks

Description: Returns the Weibull distribution. Use this distribution in reliability analysis, such as calculating a device's mean time to failure.

Syntax: WEIBULL(Number, Beta, Eta, Cumulative)

  • Number is the value at which to evaluate the function.
  • Beta is a parameter to the distribution.
  • Eta is a parameter to the distribution.
  • Cumulative determines the form of the function.

Remarks:

  • Number, Beta and Eta must be numerical.
  • Number must be greater than or equal to 0.
  • Beta and Eta must be greater than 0.
  • The equation for the Weibull cumulative distribution function is:

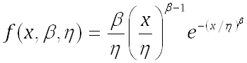
  • The equation for the Weibull probability density function is:

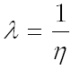
  • When Beta = 1, WEIBULL returns the exponential distribution with:

Example:

  • WEIBULL(105, 20, 100, TRUE) = 0.929581
  • WEIBULL(105, 20, 100, FALSE) = 0.035589