FISHERINV
Description: Returns the inverse of the Fisher transformation. If y = FISHER(x), then FISHERINV(y) = x.
Syntax: FISHERINV(y)
- y is the value for which you want to perform the inverse of the transformation.
Remarks:
- y must be a number.
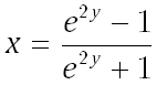
- The equation for the inverse of the Fisher transformation is:
- When used in an event analysis flowchart, y must evaluate to a numerical value. It can include:
-
Numerical values
-
Standard operands (+, -, *, /)
-
Predefined mathematical functions (exp, log, sin, etc.)
-
References to any ReliaSoft Workbooks
Example:
- FISHERINV(0.972955) = 0.75